Ejemplo 39
Sea X una variable aleatoria discreta. cuya función de probabilidad viene definida en la siguiente tabla:

Luego la función distribución acumulada, presentada de manera formal, es

Ejemplo 40
Se lanza al aire una moneda tres veces. Supongamos que se define la variable aleatoria X como X = nc – ns, donde ns representa el número de caras y ns representa el número de sellos obtenidos.
a) Encuentre el espacio muestral Ω
b) Obtenga el espacio rango de X, RX.
c) Obtenga la distribución de probabilidad de X
d) Obtenga la distribución acumulada de X
e) Construya la gráfica de p(x) y F(x).
Solución
a) Los elementos de Ω son Ω = { SSS, SSC, SCS, CSS, SCC, CSC, CCS, CCC }
b) Puesto que al lanzar la moneda tres veces el número de caras,nc y ns el número de sellos puede variar de 0 a 3, entonces nc - ns = {-3, -1, 1, 3 }, por lo que
X toma los valores -3, -1, 1, 3; con lo cual RX = { -3, -1, 1, 3 }
c) Daremos la siguiente explicación para encontrar p(x):
X = -3 si se obtiene 0 caras; es decir p(-3) = 1/8
X = -1 si se obtiene una cara y dos sellos, por lo que p(-1) = 3/8
X = 1 si se obtiene dos caras y un sello, por lo que p(1) = 3/8
X = 3 si se obtiene tres caras y cero sellos, por lo que p(3) = 1/8
Luego
| X | -3 | -1 | 1 | 3 |
| p(x) | 1/8 | 3/8 | 3/8 | 1/8 |
d) Para obtener F(x), consideraremos los siguientes casos:


La gráfica de las dos funciones p(x) y F(x) se muestra en las figuras anteriores Caso continuo:
Si X es una variable aleatoria continua, la función de distribución acumulada de X, F(x), se define como

Observaciones
a) Si bien la evaluación y obtención de F en el caso discreto se presta a muchas operaciones engorrosas de cálculo, en el caso continuo el problema se convierte en utilizar adecuadamente los criterios matemáticos de integración(lo que en muchos casos también puede ser engorroso).
b) A diferencia del caso discreto donde P(X < k )=P( X ≤ k ) – P(X = k) = F(k) – p(k)
Si la variable aleatoria X es continua P(X < k ) = P( X ≤ k ). Y esto se demuestra matemáticamente ya que siendo

Evaluemos ahora la probabilidad del evento { X < k }.

Teorema
Si X es una variable aleatoria continua en el intervalo (a, b) y F es su función de distribución acumulada entonces P( a ≤ X ≤ b ) = F(b) – F(a)
Obtención de la función de distribución de probabilidad a partir de la distribución acumulada de la variable X.
Caso discreto:
Sea X una variable aleatoria discreta con valores posibles x1, x2, …, xn, xn+1, … . Si F es la función de distribución acumulada de X, entonces
p(xi) = P( X = xi) = F(xi) – F(xi-1) Esto es cierto ya que p(xi) = P( X = xi) = P(X ≤ xi) – P(X < xi)
= F(xi) – P(X ≤ xi-1 ) = F(xi) - F(xi-1)
El siguiente ejemplo nos exime de mayores explicaciones:
Sea X una variable aleatoria discreta cuya función de probabilidad está dada por
| X | 0 | 1 | 2 | 3 |
| p(x) | 0.40 | 0.20 | 0.25 | 0.15 |
F(2) = P(X ≤ 2) = p(0) + p(1) + p(2)
F(1) = P(X ≤ 1) = p(0) + p(1)
Restando miembro a miembro y cambiándolos, tenemos: p(2) = F(2) – F(1)
Caso continuo:
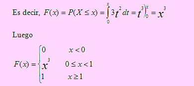
Sea X una variable aleatoria continua con f su función de densidad de probabilidad.

a) Obtener la función de distribución acumulada de X
b) Usando F, obtener P(X < 1/2 )
c) Si se sabe que X es mayor que 1/2 , cuál es la probabilidad de que sea menor que3/4 ? Use F para evaluar esta probabilidad.
Solución
a) Por definición F(x) = P(X ≤ x )

b) Como X es una variable continua F(1/2) = P(X 1/2)= P(X < 1/2)=1/8
c) Se nos pide evaluar la probabilidad condicional del evento {X < ¾} dado el evento {X<1/2). Es decir

Síguenos en: Facebook Sobre aulaClic Política de Cookies