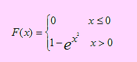
Ejemplo 42
Los gastos de viajes semanales (en miles de dólares) que el personal de ventas de la Empresa TORA, justifica cada semana, es una variable aleatoria cuya función de distribución acumulada está dada por

a) Qué porcentaje de vendedores gastan semanalmente menos de 500 dólares?
b) El tirano del jefe ha ofrecido unas vacaciones de dos semanas a quien justifique gastos que se encuentren en el 15% inferior. Si Ud. ha gastado 312 dólares, conseguirá unas vacaciones?
c) Obtenga la función de densidad de probabilidad de X
Solución
a) Usemos la función de distribución acumulada F.
P(X < 1/2 ) = P(X 1/2 ) = F(1/2) = 1 – e-0.25 = 0.2212
Luego, aproximadamente el 22% de los vendedores gastan menos de $ 500 semanalmente
b) Hallaremos la probabilidad de que X sea menor que 0.312. Si este valor es menor a 0.15, entonces diremos que podemos obtener dichas vacaciones.
P(X < 0.312) = P(X ≤ 0.312 ) = F(0.312) = 0.092756. Como el 9.28% han gastado menos de $ 312, entonces sí puedo obtener unas vacaciones por estar por debajo del 15% inferior.
c) Para hallar la función de densidad de probabilidad de X debemos derivar a F.
En efecto, derivando a F(x), respecto a x, encontramos f(x) = -2x e-x2, x ≥ 0.
Ejemplo 43
La variable aleatoria continua X tiene por función de densidad de probabilidad a

Si se hacen dos determinaciones independientes de X.
a) Encuentre la función de densidad de probabilidad de X
Usando la función de distribución acumulada F, resuelva las siguientes preguntas:
b) Cuál es la probabilidad de que ambas determinaciones sean mayores que uno?.
c) Si se han hecho tres determinaciones independientes, cuál es la probabilidad de que exactamente dos sean mayores que uno?
Solución
a) De acuerdo al Teorema, para encontrar la función de densidad f debemos derivar respecto a x.
Si X < 0 , entonces f(x) = 0
Si 0 ≤ X ≤2 , entonces f(x) = x/2
Si x > 2, entonces f(x) = 0

b) Sea A el evento {x/x >1} definido como la primera determinación
Sea B el evento {x/x >1} definido como la primera determinación
Sabemos que F(x) = x²/4 , 0 x 2. Entonces
P(A) = P({x/x >1}) = P(X > 1) = 1 - P(X ≤ 1) = 1 - F(1) = 1 - 1/4 = 0.75
Como P(A) = P(B), tenemos P(A ∩ B) = (3/4)(3/4) = 9/16
c) Ahora se sabe que se realizaron tres determinaciones. Queremos que, exactamente dos de ellas sean mayores que uno.
Debemos definir otra variable que represente el número de determinaciones que cumplan dicha condición. Sea Y la variable aleatoria definida como el “Número de determinaciones que son mayores que uno”.
Según esto, Y es una variable aleatoria discreta que toma valores 0, 1, 2 y 3. Si de un total de tres determinaciones, queremos encontrar la probabilidad de que dos de ellas cumplan con la condición de ser mayores que uno, podemos usar el modelo binomial para resolverlo. Afirmamos que Y es una variable binomial por cuanto se tiene n = 3 elecciones(determinaciones), cada uno de los cuales son independientes uno de otro. La probabilidad de éxito p = P(X>1) = ¾, encontrado en b).
Luego la función de probabilidad para Y = 2, usando un razonamiento dado en dos ejemplos anteriores de variable discreta será:
P(Y = 2 ) = C(3, 2)(3/4)2(1/4) = 27/64
Síguenos en: Facebook Sobre aulaClic Política de Cookies