Distribución exponencial
Sea X una variable aleatoria continua. Diremos que X tiene una distribución exponencial de parámetro α, si su función de densidad de probabilidad viene dada por

La gráfica de la función de densidad es aquella que se muestra en la siguiente figura

Si x = 0 entonces f(0) = ∞
Si x → ∞ entonces f(x) → 0
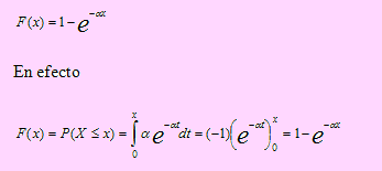
Si X se distribuye exponencialmente con parámetro α, entonces su función de distribución acumulada viene dada por

Nota:
Tenga presente a esta función ya que para calcular cualquier forma de probabilidad le será útil ya que no tendrá que estar integrando a f para la probabilidad pedida. Veamos algunos casos:

Teorema
Si X es una variable aleatoria con distribución exponencial, de parámetro α, entonces
μ = 1/α
σ2 = 1/α2
Usando MS Excel:
La función que permite resolver preguntas referidas a la distribución exponencial es:
P(X ≤ x) = Distr.Exp(x,α,opción)
Donde opción puede ser Verdadero ( 1) si se desea usar la distribución acumulada.
Ejemplo 128
La vida útil (en cientos de días) de ciertos repuestos para vehículos es una variable aleatoria que se distribuye exponencialmente con parámetro 2/3.
a) ¿Cuál es la probabilidad de que un repuesto de este tipo dure entre 110 y 130 horas?
b) Cuántos días durará un repuesto en el 90% de las veces?
c) ¿Cuántos días se espera que dure este tipo de repuesto?
d) Un perito inspecciona 5 repuestos de este tipo, ¿cuál es la probabilidad de que dos de ellos dure menos de 150 días?
Solución
Sea X la variable aleatoria que representa “La vida útil de dicho repuesto”. Como X tiene distribución exponencial de parámetro 2/3, entonces α = 2/3, con lo cual la función de densidad de probabilidad será

Según esto debemos hallar
a) P(110 ≤ x ≤ 130 ) = F(130) – F(110) = 1 - e-2/3(130) - ( 1 - e-2/3(110) ) = 0.244= 0.05995
Usando Excel: =Distr.Exp(1.3,2/3,1)-Distr.Exp(1.1,2/3,1)
b) De acuerdo a los datos tenemos P(X > c) = 0.90
Debemos encontrar c tal que se cumpla la igualdad. Usando la distribución acumulada, tenemos
P(X > c) = 1 – P(X ≤ c) = 1 – F(c) = 1 - (1 - e-2/3c)= e-2/3c.
Igualando a 0.90 y tomando logaritmo neperiano a ambos miembros tenemos: c = -(3/2)Ln(0.90) de donde c = 0.158 ; por lo que el repuesto puede durar hasta 6 días aproximadamente.
c) Puesto que X representa la vida útil del repuesto en cientos de días, E[X] representa el tiempo esperado de vida útil. Y como E[X] = 1/α, entonces E[X] = 3/2 = 1.5 cientos de días; es decir el número de días que se espera que dure este repuesto es de 150 días.
d) Por la naturaleza de la pregunta podemos definir a la variable Y como el “Número de repuestos cuyo tiempo de vida es inferior a 150 días”. Y puesto que se selecciona 5 repuestos, n = 5 y la probabilidad de éxito es p = P(X < 150 ).
Lo que tenemos es que Y es una variable cuya distribución de probabilidad es Binomial con parámetros n = 5 y p = P(X < 150).
Hallemos primero p:
p = P(X < 150) = F(150) = 1 - e-2/3(150) = 0.6321 Luego P(Y = 2 ) = C(5, 2)0.632120.36793 = 0.1990
Síguenos en: Facebook Sobre aulaClic Política de Cookies